Späckhuggare i det vilda har raka vackra ryggfenor, i fångenskap får de snart en kollapsad ryggfena som visar på den ohälsa som de lider av. Stress som de utsätts för ständigt i de inhängnader som egentligen är för små för att hålla sådana stora djur. Men faran är störst för de tränare som sedan ska ha hand om dessa stora (vilda) vattendjur. Späckhuggare i det vilda skadar sällan varandra och har aldrig skadat en människa allvarligt medan det i dessa vattenparker ofta sker incidenter. Oftast skadar späckhuggarna varandra genom att ramma eller bita varandra. Men ibland kommer även människor mellan.
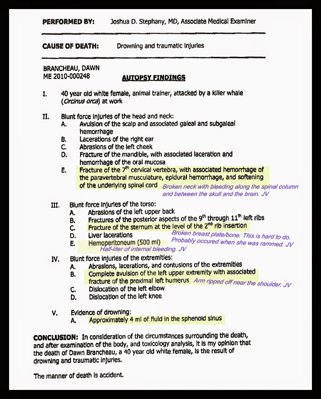
Nedan är obduktionsrapporten ifrån när späckhuggaren Tilikum dödade sin tränare Dawn Brancheau. Det är förövrigt den tredje människa som just den här späckhuggaren dödat. Av de andra två så var en tränare och den andra var en person som efter stängningstid hoppat in till poolen där Tilikum simmade omkring.
Det finns även filmer på Youtube som visar själva attacken på Dawn Brancheau. Jag ska inte länka till den, men den visar tydligt att attacken mot Dawn inte var en olycka utan att det är en späckhuggare som menar allvar och gång på gång rammar och kastar sig över henne i hög hastighet och stor våldsamhet. Attacken börjar med att späckhuggaren tar tag i hennes arm och drar henne ut till vattnet utan förvarning. Där han sedan inte låter henne fly. Som man ser på obduktionsrapporten var kroppen hårt åtgången och slutade även med att späckhuggaren åt upp ena armen ifrån den döda kroppen. Ifrån parkens sida menade man på att det här var en olycka och berodde på att tränaren hade en hårtofs som då späckhuggaren skulle fått tag i, när det egentligen inte var förrän långt senare i attacken som späckhuggaren också drar henne i håret så hårt så att nacken knäcks och hon blev skalperad. Även den första tränare Tilikum dödade skedde genom att han drog ut sin tränare i vattnet och sedan dränkte henne. Ingen såg den tredje attacken eftersom den skedde nattetid men typiskt för alla tre händelserna var att Tilikum sedan åkte runt med den döda kroppen på ryggen och paraderade runt med den som en trofé. Typiskt var också att de andra späckhuggarna deltog i attacken genom att hjälpa till att hindra personen från att lämna vattnet. Detta har skett merparten av de gånger tränare blivit attackerade vilket visar på späckhuggarnas stora flockmentalitet.
Det finns som sagt mängder av andra incidenter där dessa tränade späckhuggare dragit ut tränare i vattnet och hållit dem under ytan minuter i taget men en del av dessa har sedan lyckats fly och undkomma. En annan tränare på Teneriffas Loro Parque (som också håller späckhuggare som de fått ifrån SeaWorld). Strök också med efter att späckhuggaren totalt rammat och krossat hans bröstkorg och tränaren dog sedan av drunkning även om man kan säga att den direkta orsaken var det våld han utsattes för. Även i detta fall ville man ifrån parkens håll mena på att dödsorsaken är drunkning. Även om en helt annan bild framträder ifrån oduktionsrapporten. http://www.scribd.com/doc/46004169/The-Orca-Keto-Did-Attack-and-Kill-Alexis-Martinez
Tilikum och andra späckhuggare som anfaller och dödar människor tas inte bort. Utan man säger alltid att de här attackerna är tränarnas fel även om de inleds utan förvarning.
Tränaren i det här klippet gör det som de kan försöka använda som ett trick för att bli fria från en pågående attack. Han gör kroppen slapp och "spelar död". När de kommer upp till ytan försöker han lugna späckhuggaren genom att stryka den på ryggen. Attacken pågår om och om igen tills späckhuggaren slutligen släpper taget om hans fot och han kan rädda sig över ett nät som de andra tränarna satt upp över bassängen. Man ser i slutet att späckhuggaren följer efter över nätet och att den hade planerat att fortsätta sin attack.
En del tränare har också fått sluta sin karriär efter att ha brutna nackkotor och behövt steloperera nacken, en annan människa blev krossad när en späckhuggare landade på honom. Han behövde nästan ett års efterföljande operationer för att kunna överleva den incidenten. Här kan man läsa om fler incidenter:
Det finns även en bra dokumentär om det här, ifrån 2013 som heter "Blackfish" för de som är intresserade av att veta mer och som berättar om de här fångade valarnas situation: http://www.imdb.com/title/tt2545118/
Inom inga andra verksamheter skulle man godkänna att tränare dödas och skadas och att man fortsätter hålla ett djur som redan har dödat två av sina tränare. Etiken brister även för djuren då de i vilt tillstånd lever hela sina liv i familjestrukturer. I fångenskapen är de med helt andra späckhuggare från andra flockar som de har helt skilda kulturer ifrån. De kan även ha olika språk så att de inte helt förstår varandra. Detta leder också till stora aggressioner mellan djuren. Man tar även nyfödda kalvar ifrån deras späckhuggarmamma vilket leder till stort lidande för djuren då de i vilt tillstånd lever hela sina liv inte längre ifrån varandra än en kroppslängds bredd.
Man vet även idag att späckhuggare har en del av hjärnan som vi människor inte har, en ytterligare utväxt kopplat direkt till deras limbiska system. Man tror den regionen i hjärnan är för deras känsloliv som är mycket mer rikt och mer komplicerat med fler relationer än vad vi människor har möjlighet till. De är också otroligt intelligenta och lättlärda, vilket också lägger till som en faktor att kan vi fånga sådana här intelligenta djur som helt förstår det öde som de utsätts för. För att resten av deras liv hållas i en vattenpark?
Dessa vattenparker leder alltså till stort lidande både för människor och djur. Efter att ha läst mer om de här djuren och vilka sjukdomar och konsekvenser de faktiskt får i fångenskapen så skulle jag önska att vi började behandla de här otroligt intelligenta djuren med en större respekt.




















